您当前的位置:
现货秒发:毛花苷C、23-乙酰泽泻醇C
发布时间:2025-10-13 04:10:00
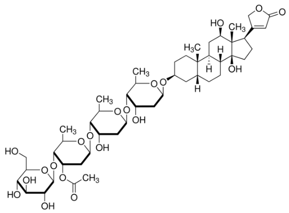
产品名称:毛花苷C
英文名:Lanatoside C
CAS号:17575-22-3
分子式:C49H76O20
分子量:985.13
纯度:≥98%
用途:用于含量测定/鉴定/药理实验等
贮存条件:2-8℃冷藏、干燥、密封、避光
货期:现货,量大可以定制
外观:白色粉末
包装规格:10mg 20mg 50mg 100mg 其他包装规格可以按照客户要求进行包装
友情提示:本公司所有产品仅用于科学实验研究,不可用于人类或动物的临床诊断或治疗,非药用、非食用。

产品名称:23-乙酰泽泻醇C
中文别名:泽泻醇C-23-醋酸酯
英文名:23-Acetyl alisol C
CAS号:26575-93-9
分子式:C32H48O6
分子量: 528.73
纯度:≥ 98%
用途:用于含量测定/鉴定/药理实验等
提取来源: 泽泻科植物泽泻 Alisma orientalis (Sam.) Juzep. 的干燥块茎
溶解性:易溶于氯仿,可溶于甲醇
药理药效: 降低血清总胆固醇及三酰甘油含量,减缓动脉粥样硬化形成;泽泻及其制剂现代还用于治疗内耳眩晕症、血脂异常、遗精、脂肪肝及糖尿病等。
贮存条件:2-8℃冷藏、干燥、密封、避光
货期:现货,量大可以定制
外观:白色粉末
包装规格:10mg 20mg 50mg 100mg 其他包装规格可以按照客户要求进行包装
友情提示:本公司所有产品仅用于科学实验研究,不可用于人类或动物的临床诊断或治疗,非药用、非食用。
上一篇:
现货秒发:高黄芩素;野黄芩素、百蕊草素I
下一篇:
现货秒发:异防己诺林碱、瑞鲍迪苷M