您当前的位置:
今日主推: 迷迭香酸甲酯 、迷迭香酸乙酯
发布时间:2026-01-28 04:20:00
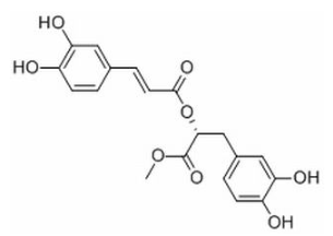
产品名称:迷迭香酸甲酯
英文名称:Methyl rosmarinate
CAS登录号:99353-00-1
分子式:C19H18O8
分子量:374.34
纯度:98%
用途:用于含量测定/鉴定/药理实验等。
贮存条件: 2-8℃冷藏、干燥、密封、避光
来源:迷迭香
货期:现货
外观:白色结晶
药理药效:抗炎,抗菌,抗氧化,抗心血管平滑肌细胞增殖
包装规格:其他包装规格可以按照客户要求进行包装
友情提示:本公司所有产品仅用于科学实验研究,不可用于人类或动物的临床诊断或治疗,非药用、非食用。

产品名称:迷迭香酸乙酯
英文名称:Ethyl rosmarinate
CAS登录号:174591-47-0
分子式:C20H20O8
分子量:388.37
纯度:98%
用途:用于含量测定/鉴定/药理实验等。
贮存条件: 2-8℃冷藏、干燥、密封、避光
货期:现货
外观:白色至类白色粉末
来源:迷迭香
药理药效:抗菌,抗氧化,抗帕金森综合症
包装规格:其他包装规格可以按照客户要求进行包装
友情提示:本公司所有产品仅用于科学实验研究,不可用于人类或动物的临床诊断或治疗,非药用、非食用。
上一篇:
今日主推: 盐酸葫芦巴碱 、盐酸白屈菜红碱
下一篇:
今日主推: 四氢小檗红碱 、氯化芹菜定